作品展示
优美的文笔让人流连,美好的故事引人遐想。喜迎二十大胜利召开,beat365英国官方网站开展“品读文学,书香共赏”活动,为优秀的作品提供平台,让飞扬的文采得以挂靠。食髓知味,落笔成文,这里是放飞思绪的一方天地,这里是共话文学的青春殿堂,我们怀言引玉,我们邀你共赏。
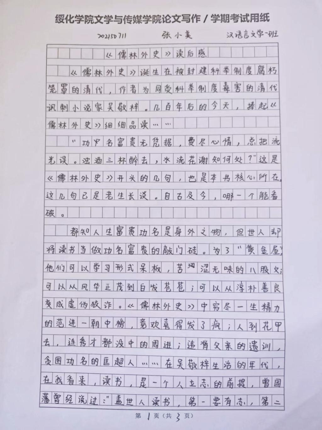
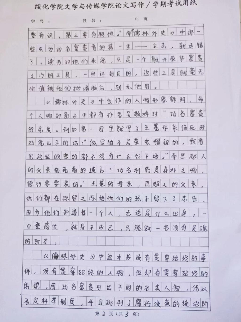
2021级汉语言文学一班张小美



2021级汉语言文学一班王慧莹



2021级汉语言文学一班代迎



2021级汉语言文学二班徐雨婷



语言
是打开与世界沟通的窗户
带给我们别样的风景
文字
是抒发感怀的声声呐喊
抵过长风 化作春雨
终让我们怀着同一份热爱
看见每一个值得被看见的你